

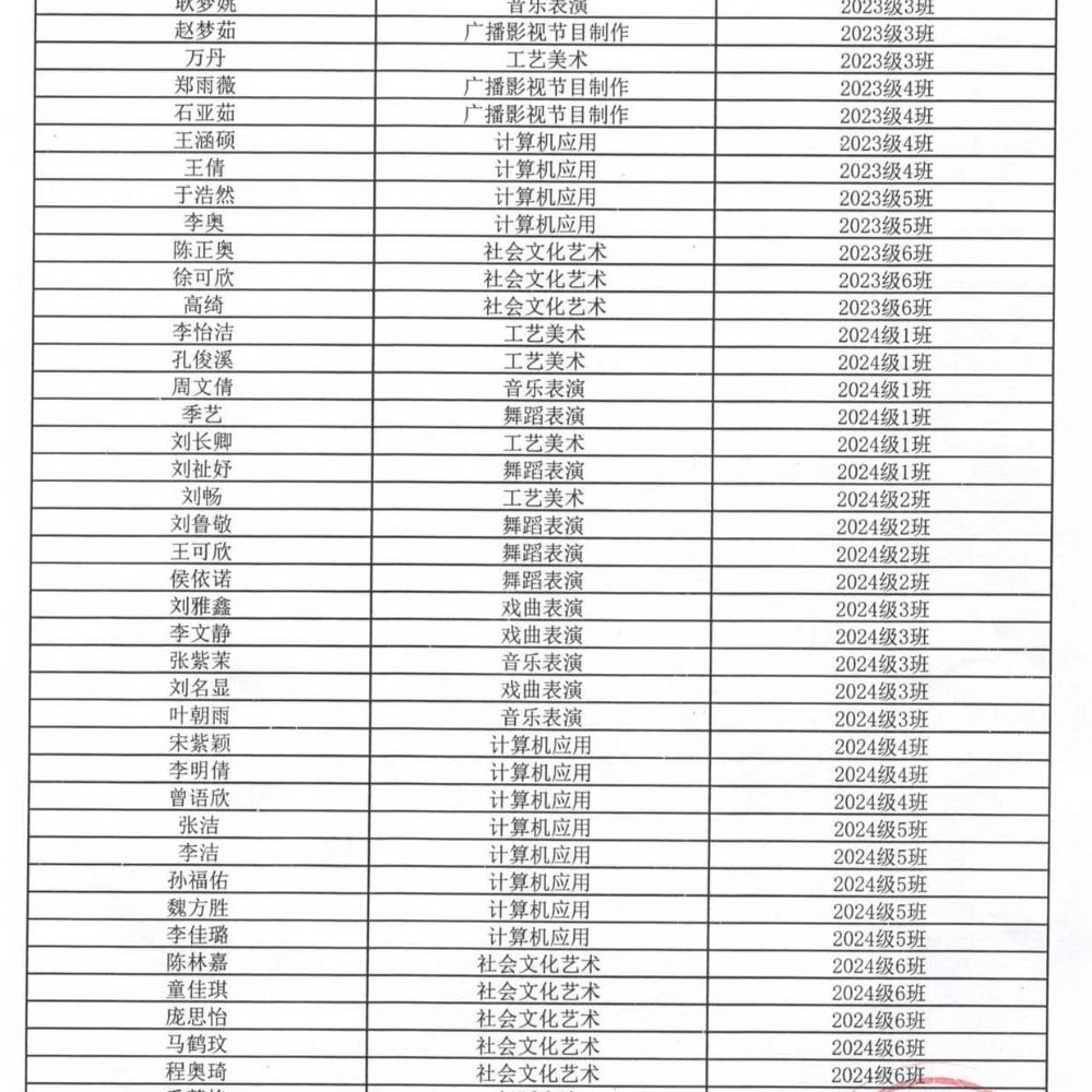
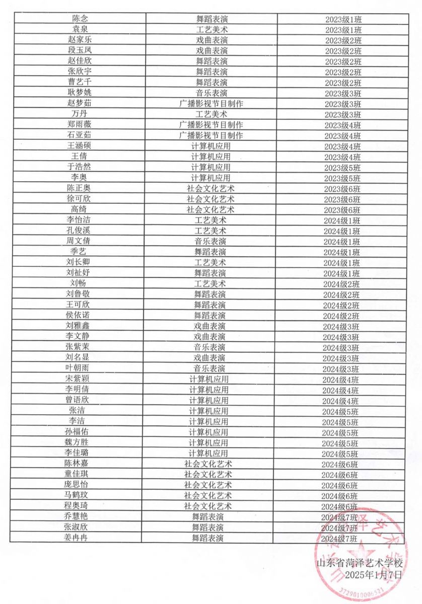
山东省菏泽艺术学校 2024-2025学年第 一学期优 秀学生干部、优 秀学生 2025-1-9 15:51:41 本文被阅读 3103 次
| 上一条:没有了 | 下一条:山东省菏泽艺术学校 春节假期安全教育致家长的一封信 |



山东省菏泽艺术学校
山东省菏泽艺术学校
办公室:0530-5266858
学生科:0530-5266133
招生就业科:0530-5266136
:0530-5266009
地 址:菏泽市泰山路5066号
乘车路线:乘坐2路、9路、16路到菏泽市职教园西门,乘坐50路到应急管理局站下车即到。


| 上一条:没有了 | 下一条:山东省菏泽艺术学校 春节假期安全教育致家长的一封信 |